量化交易 ATR

平均真实波动

ATR大 市场剧烈 涨跌大

ATR小 市场平淡 震荡

上涨+ATR变大=上涨有力量

下跌+ATR变大=下跌很凶

策略

ATR大 波动大 少买

ATR小 波动小 可以多买(量化)

算法:

TR 三个选一个

当日最高-当日最低

当日最高-昨日收盘

在当日最低-昨日收盘

取绝地值 然后从其中选取最大的值 就是TR


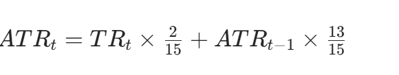
ATR 14交易日为一个周期,第一个ATR需要再向前推14个交易的平均TR

之后递归执行(执行14次计算)

import pandas as pd
df=pd.read_csv("000021.csv")
# 当日最高-当日最低

# 当日最高-昨日收盘

# 在当日最低-昨日收盘
df['高低']=df['最高']-df['最低']
df['高收']=abs(df['最高']-df['收盘'].shift(1))
df['低收']=abs(df['最低']-df['收盘'].shift(1))
df['TR']=df[['高低','高收','低收']].abs().max(axis=1) #axis=1行计算

df['ATR'] = df['TR'].ewm(span=14, adjust=False).mean()

print(df.head(30))

# ATR/股价 才是振幅
此条目发表在None分类目录。将固定链接加入收藏夹。

发表回复